Εξέταση – Θέμα

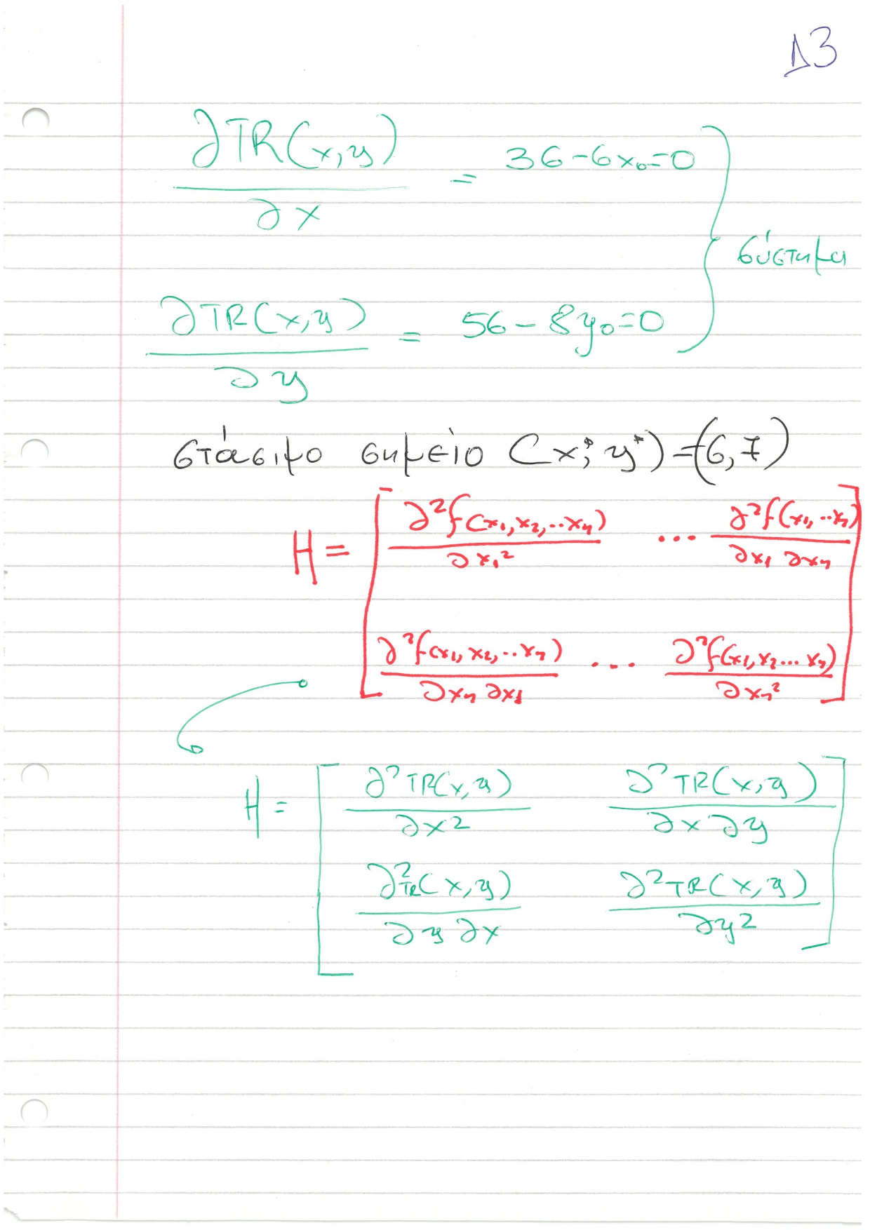
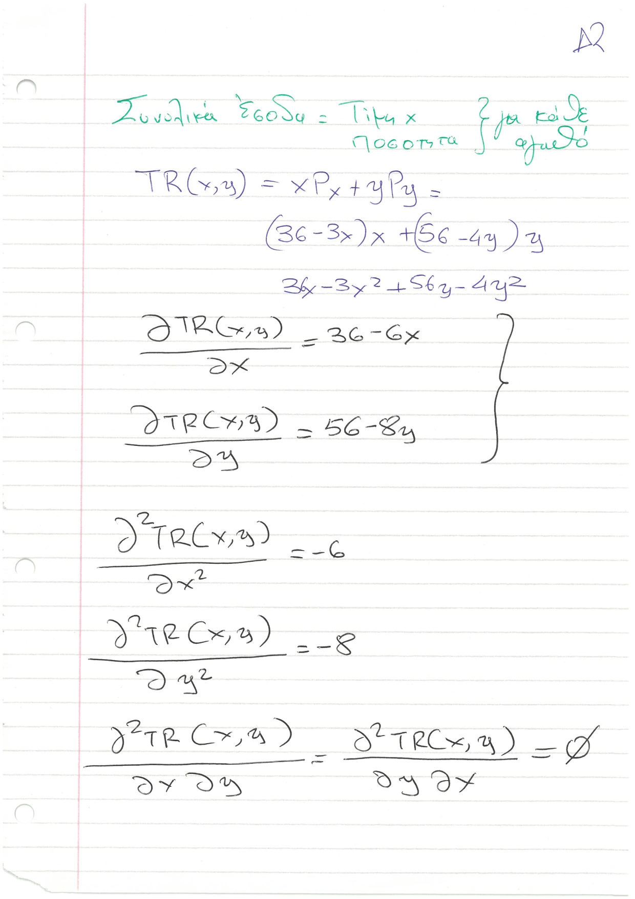
Μια μονοπωλιακή εταιρεία παράγει 2 αγαθά X και Y η συνάρτηση ζήτησης για κάθε αγαθό δίνεται από Px=36-3x και Py =56-4y.
  1. Να γραφεί η εξίσωση των συνολικών εσόδων.
  2. Να προσδιοριστούν οι ποσότητες που πρέπει να πουληθούν από κάθε αγαθό έτσι ώστε να μεγιστοποιηθούν τα συνολικά έσοδα.
  3. Να προσδιοριστεί η μέγιστη τιμή των συνολικών εσόδων,